ବୀଜଗଣିତର କେତେକ ଉପାଦେୟ ସୂତ୍ର



                                                                                                                                                                        ବୀଜଗଣିତର କେତେକ ଉପାଦେୟ ସୂତ୍ର





 
































































































































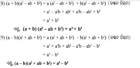
ସ୍ଵତନ୍ତ୍ର ଗୁଣଫଳ ବ୍ୟବହାର କରି ନିମ୍ନ ଗୁଣଫଳ ନିର୍ଣ୍ଣୟ କର
































ନିମ୍ନ ଗୁଣଫଳ ଗୁଡିକ ନିର୍ଣ୍ଣୟ କର । 





























ସ୍ଵତନ୍ତ୍ର ଗୁଣଫଳ ବ୍ୟବହାର କରି ନିମ୍ନ ଗୁଣଫଳ ନିର୍ଣ୍ଣୟ କର












































Popular posts from this blog

odia byakarana (ଓଡିଆ ବ୍ୟାକରଣ) ଦଶମ ଶ୍ରେଣୀ ପରୀକ୍ଷା ଦର୍ପଣ