Popular posts from this blog
MENU
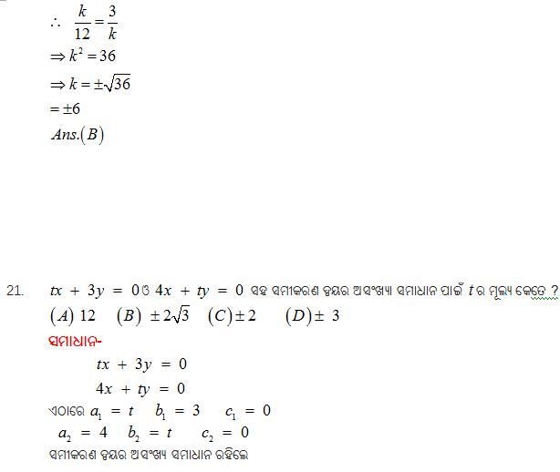
HOME ଶିକ୍ଷା ସମ୍ବାଦ ଶିକ୍ଷା ସମ୍ବାଦ ସରଳ ସହସମୀକରଣ ବୀଜଗଣିତର କେତେକ ଉପାଦେୟ ସୂତ୍ର ସରଳ ସହସମୀକରଣ ସରଳ ସହସମୀକରଣ ପ୍ରଶ୍ନୋତ୍ତର ସରଳ ସହସମୀକରଣ REVISION TEST-1 ସରଳ ସହସମୀକରଣ ଶିକ୍ଷା ପ୍ରମେୟ ଦ୍ଵିଘାତ ସମୀକରଣ ଦ୍ଵିଘାତ ସମୀକରଣ ପ୍ରଶ୍ନୋତ୍ତର ଦ୍ଵିଘାତ ସମୀକରଣ QUIZ TEST ସମ୍ଭାବ୍ୟତା ସମ୍ଭାବ୍ୟତା ପରିସଂଖ୍ୟାନ QUIZ TEST (X) ଜ୍ୟାମିତିରେ ସାଦୃଶ୍ୟ ଜ୍ୟାମିତିରେ ସାଦୃଶ୍ୟ(X) ବୃତ୍ତ QUIZ TEST(X) TEST ପରିମିତି(X) Submenu-3 Submenu-4 ସମାନ୍ତର ପ୍ରଗତି ସମାନ୍ତର ପ୍ରଗତି ଭୌତିକ ବିଜ୍ଞାନ ଦଶମ TEST 1 SCP (X) ରାସାଯନିକ ପ୍ରତିକ୍ରିୟା (X) ଜୀବବିଜ୍ଞାନ TEST 2(X) ବିଜ୍ଞାନ ଧାତୁ ଅଧାତୁTEST- (X) TEST-ବିଜ୍ଞାନ କାର୍ବନ ଯୌଗିକ (X) QUIZ TEST PERIODIC TABLE(X) ମାନବ ଚକ୍ଷୁ ଓ ବର୍ଣ୍ଣ ଜଗତ(X) QUIZ TEST ଶ୍ଵସନ(X) ସାହିତ୍ୟ ଦଶମ ସାହିତ୍ୟ ବ୍ୟାକରଣ ବିଭାଗ TEST 1 (X) ସାହିତ୍ୟ ବ୍ୟାକରଣ ବିଭାଗTEST II(X) ଭୂଗୋଳ QUIZ TEST TOPIC-(ଜୈବ ମଣ୍ଡଳ) QUIZ TEST TOPIC-(ଭାରତରେ ଅସହଯୋଗ ଆନ୍ଦୋଳନ) (X) ENGLISH GRAMMAR QUIZ TEST F.M.30 ସରଳ ସହସମୀକରଣ ଦଶମ ଶ୍ରେଣୀ ଦ୍ଵିଘାତ ସମୀକରଣ ଅନୁଶୀଳନୀ--2(a) ର

